近日,中国科学院流感研究与预警中心(CASCIRE)、微生物研究所高福院士团队联合深圳市第三人民医院等在传染病专业期刊《Clinical Infectious Diseases》发表了H5N6禽流感病毒感染临床特征和机体免疫应答机制的重要研究成果。
H5N6病毒是近年来在中国和东南亚地区活禽中流行的重要禽流感病毒,目前已逐渐取代H5N1病毒成为我国活禽中的优势流行病毒亚型。2014年4月,我国首次报道了人感染H5N6病毒的重症病例。近年来的研究发现,一些禽源H5N6病毒株能够结合人源受体,且在雪貂感染模型中的传播能力强于H5N1病毒。提示:H5N6病毒可能会成为未来严重威胁公共卫生安全的重要病原。因此,对H5N6病毒感染病例的临床特征和免疫应答规律的研究,对于理解H5N6病毒的致病及免疫保护机制、临床免疫干预手段选择及药物开发等都具有重要意义。
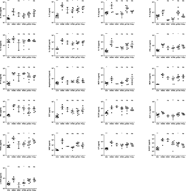
本研究首先系统分析了19例H5N6感染病例的临床特征。发现,与H5N1和H7N9病毒感染相比较,H5N6病毒感染病例具有更高频率淋巴细胞减少及较高的丙氨酸转氨酶(ALT)和乳酸脱氢酶(LDH)水平。通过对血清中48种细胞因子/趋化因子的检测,发现H5N6病毒感染呈现显著的“细胞因子风暴”特征,血清中多种因子的水平显著高于H7N9、H5N1和pH1N1病毒感染病例及细菌性肺炎病例,包括IL-2Rα、IL-12p40、IL-18、IFN α2、IP-10等。进一步对两例死亡病例和一例康复病例血清中细胞因子的动态变化进行了检测,发现康复病例血清中细胞因子水平在感染后快速下降,而两例死亡病例细胞因子持续处于高水平状态,提示持续高水平的细胞因子可能是造成H5N6病毒感染死亡的重要原因之一。

图. H5N6病毒感染病例血清呈现高水平的“细胞因子风暴”
本研究还对H5N6感染病例外周血中的病毒特异性T细胞进行了检测,并对其功能特征进行了分析。研究发现,在感染康复病例中,H5N6病毒特异性T细胞在出现临床症状后第10天开始出现,并呈逐渐增加的趋势,而在两例死亡病例中并未检测到H5N6病毒特异性T细胞的存在。而血清中和抗体检测结果表明,在三例病例中均能够检测到一定水平的H5N6病毒特异性中和抗体。这些结果表明,H5N6病毒特异性T细胞免疫应答可能在H5N6感染后提供了重要的免疫保护作用。
该研究不仅对我们理解H5N6病毒感染后的机体免疫应答机制具有重要作用,而且为H5N6病毒重症感染病例的临床监测提供了重要指标,对于临床免疫干预手段的选择和疫苗及药物开发都具有重要参考价值。
中国科学院微生物研究所、流感预警中心毕玉海副研究员、谭曙光副研究员和深圳市第三人民医院Gary Wong(现为中科院上海巴斯德研究所研究员)、杨扬为论文共同第一作者,高福院士和深圳市第三人民医院刘映霞教授为共同通讯作者。
近年来,微生物研究所流感研究团队在H5N6病毒的起源进化、变异规律和流行趋势研究,以及流感病毒特异性T细胞免疫应答机制研究等方面开展了系列工作,研究成果发表在《Cell Host & Microbe》、《J Infect Dis》、《J Virol》及《J Immunol》等杂志。本研究得到了科技部重点研发计划、国家自然科学基金(优秀青年科学基金、创新研究群体、面上项目),以及深圳市三名工程等项目的资助。
论文链接:https://academic.oup.com/cid/advance-article/doi/10.1093/cid/ciy681/5075022




